2021 Publications


 
 

Identifying developmental stuttering and associated comorbidities in electronic health records and creating a phenome risk classifier.

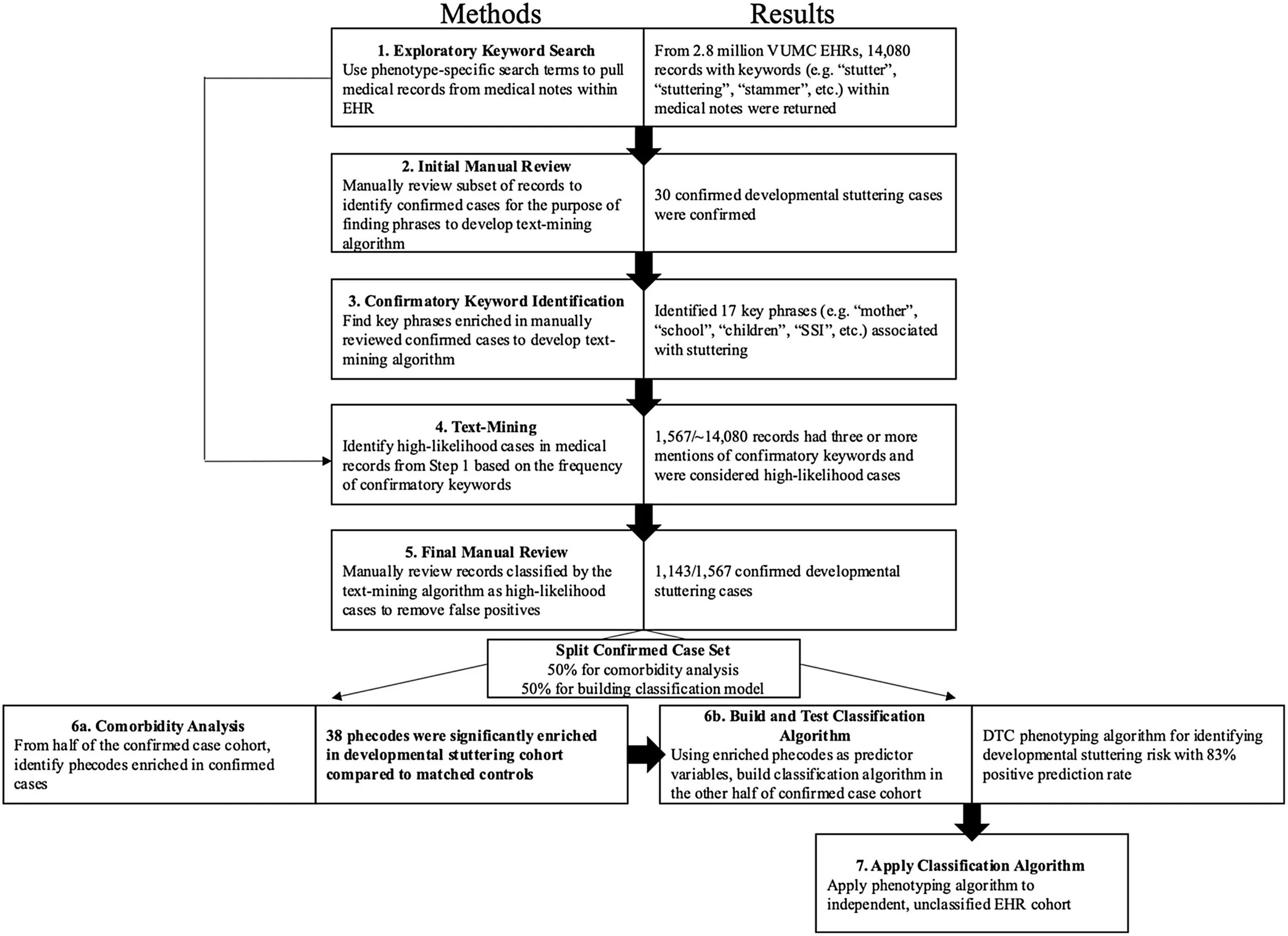
Pruett Et Al, J Fluency Disord 2021

Purpose: This study aimed to identify cases of developmental stuttering and associated comorbidities in de-identified electronic health records (EHRs) at Vanderbilt University Medical Center, and, in turn, build and test a stuttering prediction model.

Access Article

2020 Publications


 
 

Automated Phenotyping Tool for Identifying Developmental Language Disorder Cases in Health Systems Data (APT-DLD): A New Research Algorithm for Deployment in Large-Scale Electronic Health Record Systems

Courtney E Walters Jr Et al, J Speech Lang Hear Res. 2020

Purpose: Data mining algorithms using electronic health records (EHRs) are useful in large-scale population-wide studies to classify etiology and comorbidities (Casey et al., 2016). Here, we apply this approach to developmental language disorder (DLD), a prevalent communication disorder whose risk factors and epidemiology remain largely undiscovered. Method We first created a reliable system for manually identifying DLD in EHRs based on speech-language pathologist (SLP) diagnostic expertise. We then developed and validated an automated algorithmic procedure, called, Automated Phenotyping Tool for identifying DLD cases in health systems data (APT-DLD), that classifies a DLD status for patients within EHRs on the basis of ICD (International Statistical Classification of Diseases and Related Health Problems) codes. APT-DLD was validated in a discovery sample (N = 973) using expert SLP manual phenotype coding as a gold-standard comparison and then applied and further validated in a replication sample of N = 13,652 EHRs. Results In the discovery sample, the APT-DLD algorithm correctly classified 98% (concordance) of DLD cases in concordance with manually coded records in the training set, indicating that APT-DLD successfully mimics a comprehensive chart review. The output of APT-DLD was also validated in relation to independently conducted SLP clinician coding in a subset of records, with a positive predictive value of 95% of cases correctly classified as DLD. We also applied APT-DLD to the replication sample, where it achieved a positive predictive value of 90% in relation to SLP clinician classification of DLD. Conclusions APT-DLD is a reliable, valid, and scalable tool for identifying DLD cohorts in EHRs. This new method has promising public health implications for future large-scale epidemiological investigations of DLD and may inform EHR data mining algorithms for other communication disorders. Supplemental Material https://doi.org/10.23641/asha.12753578.

Access Article

2019 Publications


The Role of Effortful Control in Stuttering Severity in Children: Replication Study

Shelly Jo Kraft Et. Al, Am J Speech Lang Pathol. 2019

Purpose: Because of the clinical significance of the initial study's findings, a replication study with a different, larger cohort of children who stutter was warranted to validate the reported outcomes. Method The current study assesses 98 children who stutter, ages 2;4 to 12;6 (years; months, M = 6;7), recruited from Perth, Australia. Results The results support the previous findings of Kraft, Ambrose, and Chon (2014) , with effortful control remaining the sole significant contributor to variability in stuttering severity, as rated by both parents and clinicians.

Access Article

The Role of Effortful Control in Stuttering Severity in Children: Replication Study

Shelly Jo Kraft Et. Al, Am J Speech Lang Pathol. 2019

Purpose: Because of the clinical significance of the initial study's findings, a replication study with a different, larger cohort of children who stutter was warranted to validate the reported outcomes. Method The current study assesses 98 children who stutter, ages 2;4 to 12;6 (years; months, M = 6;7), recruited from Perth, Australia. Results The results support the previous findings of Kraft, Ambrose, and Chon (2014) , with effortful control remaining the sole significant contributor to variability in stuttering severity, as rated by both parents and clinicians.

Access Article